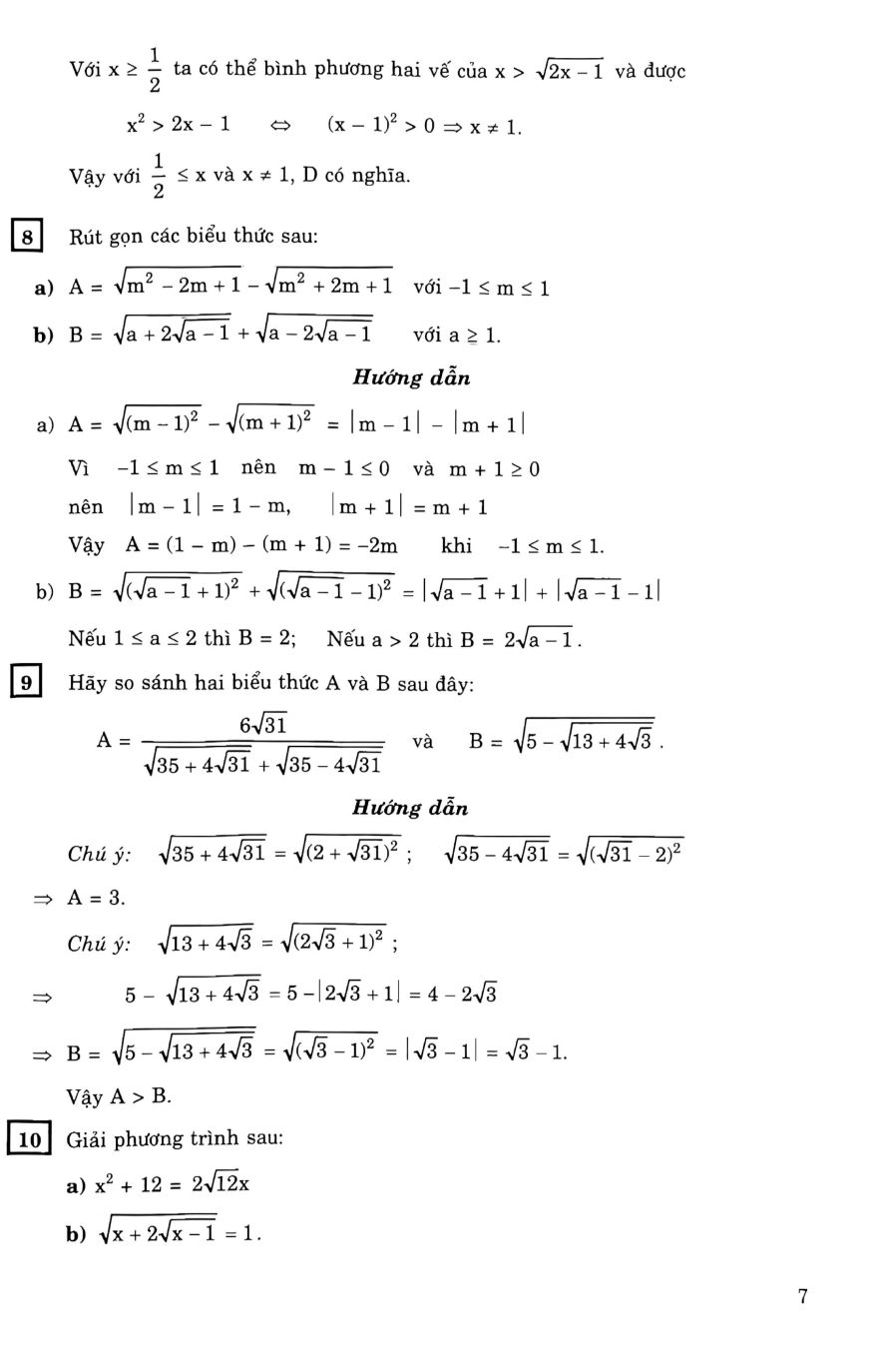
✨400 Bài Toán Cơ Bản Lớp 9 (Dùng Chung Cho Các Bộ SGK Hiện Hành) - HA













400 Bài Toán Cơ Bản Lớp 9 (Dùng Chung Cho Các Bộ SGK Hiện Hành) ĐẠI SỐ Chương I. CĂN BẬC HAI – CĂN BẬC BA I. Căn bậc hai II. Căn thức bậc hai và hằng đẳng thức VA2 = |A| III. Liên hệ giữa phép nhân (phép chia) và phép khai phương.. IV. Biến đổi đơn giản căn thức bậc hai. V. Thực hiện phép tính, rút gọn biểu thức chứa căn bậc hai. VI. Căn thức bậc ba Bài tập ôn chương I. Chương II. HÀM SỐ BẬC NHẤT
- Khái niệm hàm số II. Hàm số bậc nhất. III. Hệ số góc của đường thẳng y = ax + b (a ≠ 0). Bài tập ôn chương II... Chương III. HỆ PHƯƠNG TRÌNH BẬC NHẤT HAI ẨN I. Phương trình bậc nhất hai ẩn II. Hệ hai phương trình bậc nhất hai ẩn... III. Giải bài toán bằng cách lập hệ phương trình Bài tập ôn chương III Chương IV. HÀM SỐ y = ax2 (a ≠ 0) PHƯƠNG TRÌNH BẬC HAI MỘT ẨN I. Hàm số y = ax2 (a ≠ 0) II. Phương trình bậc hai một ẩn. III. Hệ thức Vi-ét và ứng dụng. IV. Phương trình quy về phương trình bậc hai V. Giải bài toán bằng cách lập phương trình bậc hai một ẩn Bài tập ôn chương IV HÌNH HỌC Chương I. HỆ THỨC LƯỢNG TRONG TAM GIÁC VUÔNG. Chương II. ĐƯỜNG TRÒN I. Định nghĩa đường tròn và tính chất đối xứng của đường tròn II. Vị trí tương đối của một điểm, một đường thẳng với đường tròn. Tiếp tuyến của đường tròn III. Vị trí tương đối của hai đường tròn. Chương III. GÓC VỚI ĐƯỜNG TRÒN I. Góc ở tâm và góc nội tiếp, cung chứa góc. II. Góc tạo bởi tia tiếp tuyến và cát tuyến. Góc có đỉnh ở bên trong và góc có đỉnh ở bên ngoài đường tròn.... III. Tứ giác nội tiếp. Đường tròn nội tiếp. Đường tròn ngoại tiếp IV. Độ dài đường tròn. Diện tích hình tròn. Chương IV. HÌNH TRỤ, HÌNH NÓN, HÌNH CẦU BÀI TẬP ÔN TẬP CUỐI NĂM Công ty phát hành: Nhà Sách Hồng Ân Năm Xuất Bản: 2025 Kích Thước: 17x24 cm Số Trang: 181 Nhà Xuất bản: Đại Học Sư Phạm Bìa: Mềm Tác Giả: TS. VŨ THẾ HỰU - NGUYỄN VĨNH CẬN




Theo xu hướng tự chủ, hiện nay các trường đại học, học viện trong cả nước sử dụng nhiều phương thức tuyển sinh khác nhau, trong đó đặc biệt ưu tiên sử dụng kết quả
Cấu trúc cụ thể của cuốn sách Bộ để kiểm tra, đánh giá Toán 9 như sau: PHẦN 1. ĐỀ KIỂM TRA, ĐÁNH GIÁ Để kiểm tra giữa học kì ! Để
Cấu trúc cụ thể của cuốn sách Bộ để kiểm tra, đánh giá Toán 9 như sau: PHẦN 1. ĐỀ KIỂM TRA, ĐÁNH GIÁ Để kiểm tra giữa học kì ! Để
Combo Khám Phá Khoa Học Tự Nhiên 7 + Tuyển Tập Đề Kiểm Tra Định Kì Khoa Học Tự Nhiên Lớp 7 (Biên Soạn Theo Chương Trình GDPT Mới) (Bộ 2 Cuốn) 1. Khám
Theo xu hướng tự chủ, hiện nay các trường đại học, học viện trong cả nước sử dụng nhiều phương thức tuyển sinh khác nhau, trong đó đặc biệt ưu tiên sử dụng kết quả
Kì thi Đánh giá tư duy năng lực của các trường đại học lớn như: Đại học Quốc gia Hà Nội (HSA), Đại học Quốc gia Thành phố Hồ Chí Minh (APT), Trường Đại học
Nhà xuất bản: NXB Dân Trí Tác giả: Nhiều Tác Giả Loại bìa: Bìa Mềm Số trang: 239 Năm xuất bản: 2023 Nhà phát hành : Sách Nhân Dân =================================== Bộ 30 Đề
Nhà xuất bản: NXB Dân Trí Tác giả: Nhiều Tác Giả Loại bìa: Bìa Mềm S ố trang: 239 Năm xuất bản: 2023 Nhà phát hành : Hồng ân =================================== Bộ 30 Đề Thi Thử
Năm học 2022-2023 là năm học đầu tiên áp dụng giảng dạy môn Khoa học tự nhiên 6 theo chương trình giáo dục phổ thông 2018. Đây là môn học tích hợp các lĩnh vực
Bộ 30 Đề Thi Thử Học Sinh Giỏi Khoa Học Tự Nhiên 6 (Theo Chương Trình Giáo Dục Phổ Thông Mới) Năm học 2022-2023 là năm học đầu tiên áp dụng giảng dạy môn Khoa

ương Pháp Giải Toán Chuyên Đề Hình Học Lớp 10 (Biên Soạn Theo Chương Trình GDPT Mới): Tác giả: Nguyễn Văn Nho - Lê Bảy Nhà phát hành : Nhà Xuất Bản Đại Học Quốc
Công ty phát hành: Nhà sách Hồng Ân Năm Xuất Bản: 2024 Tác Giả: Hoàng Thị Thúy Hương, Quách Văn Long, Nguyễn Xuân Trường Số Trang: 394 Nhà xuất bản: Đại Học Quốc Gia Hà
Sách - Bài giảng và lời giải chi tiết Tiếng Anh 12 (theo chương trình Friends Global) Cuốn sách “Bài giảng và lời giải chi tiết Tiếng Anh 12 – Friends Global” được biên soạn
Sách - Hướng dẫn giải chi tiết đề luyện thi tốt nghiệp THPT môn tiếng anh theo cấu trúc đề thi 2025 - HA Các em học sinh lớp 12 thân mến! Chúng tôi biên
Công ty phát hành: Nhà sách Hồng Ân Năm Xuất Bản: 2024 Tác Giả: Hoàng Thị Thúy Hương, Quách Văn Long, Nguyễn Xuân Trường Số Trang: 396 Nhà xuất bản: Đại Học Quốc Gia Hà
Mô Tả Sản Phẩm. Bộ sách hướng dẫn ôn tập kỳ thi vào lớp 10 của THPT Chuyên Ngoại ngữ. + Được các giáo viên đang giảng dạy tại THPT Chuyên Ngoại ngữ trực tiếp
combo Hướng dẫn học và làm bài làm văn Ngữ Văn 8 gồm Hướng dẫn học và làm bài làm văn Ngữ Văn 8 tập 1 Hướng dẫn học và làm bài làm văn Ngữ
Hướng dẫn học và làm bài làm văn Ngữ Văn 8 Để giúp các em có thể học và nắm chắc nội dung kiến thức bộ môn ngữ văn ở cấp THCS, chúng tôi biên
Combo: Bộ sách Ôn luyện cơ bản và nâng cao Toán 9 Tập 1 +T2 (Bám sát chương trình SGK Kết nối tri thức với cuộc sống) Tác giả Nhiều tác giả Nhà xuất bản
Nhà xuất bản : Đại Học Sư Phạm Tác Giả : Nguyễn Đức Tấn Năm xuất bản : 2022 Trang : 200 nhà phát hành : Nhà sách hồng ân NỘI DUNG Định hướng
Nhà xuất bản : Đại Học Sư Phạm Tác Giả : Nguyễn Đức Tấn Năm xuất bản : 2022 Trang : 200 nhà phát hành : Nhà sách hồng ân NỘI DUNG Định hướng
combo hướng dẫn học và phương pháp giải toán 8 - tập 1 + 2 (bám sát sgk chân trời sáng tạo) (bộ 2 cuốn) Combo Hướng Dẫn Học & Phương Pháp Giải Toán Lớp
Sách - Các dạng nghị luận xã hội ngữ văn 9 (dành cho học sinh lớp 9 vào lớp 10 theo cấu trúc đề thi năm 2025) - HA Quý thầy cô và các em
1. Bồi Dưỡng Học Sinh Giỏi Sinh Học 10 - TÁI BẢN MỚI Cuốn sách được viết bám sát chương trình Sinh học lớp 10 phổ thông và chương trình sinh học lớp 10. Cuốn
Sách - Các dạng nghị luận xã hội ngữ văn 9 (dành cho học sinh lớp 9 vào lớp 10 theo cấu trúc đề thi năm 2025) - HA Quý thầy cô và các em
Sách - Các dạng nghị luận xã hội ngữ văn 9 (dành cho học sinh lớp 9 vào lớp 10 theo cấu trúc đề thi năm 2025) - HA Quý thầy cô và các em
CAM KẾT VÀ BẢO HÀNH - Đảm bảo và cam kết sản phẩm đúng với mô tả và hình ảnh của shop. - Đổi trả sản phẩm miễn phí trong vòng 7 ngày nếu sản
Sách - Combo Hướng Dẫn Học Ngữ Văn Lớp 7 Tập 1 + Tập 2 ( Dùng Kèm Sách Giáo Khoa Chân Trời Sáng Tạo ) gồm : Hướng Dẫn Học Ngữ Văn 7- Tập 1
Sách - Sách tham khảo lí 12 theo chương trình mới (dùng chung các bộ sgk hiện hành) + ha Tiếp theo cuốn Sách tham khảo VẬT LÍ 10, 11, với tinh thần giúp đỡ
1.Bồi Dưỡng Học Sinh Giỏi Hóa Học 8 Theo Chuyên Đề (Dùng Chung Cho Các Bộ SGK Hiện Hành) Cuốn sách Các Chuyên Đề Bồi Dưỡng Học Sinh Giỏi Hóa Học 8 giúp các em
1.Bồi Dưỡng Học Sinh Giỏi Hóa Học 8 Theo Chuyên Đề (Dùng Chung Cho Các Bộ SGK Hiện Hành) Cuốn sách Các Chuyên Đề Bồi Dưỡng Học Sinh Giỏi Hóa Học 8 giúp các em
Sách - Tư Liệu Dạy Học Lịch Sử + Địa Lí Lớp 9 (Dùng Chung Cho Các Bộ SGK Hiện Hành) - HA Nhằm cung cấp cho giáo viên và học sinh các tư liệu
Sách - Tư Liệu Dạy Học Lịch Sử + Địa Lí Lớp 9 (Dùng Chung Cho Các Bộ SGK Hiện Hành) - HA Nhằm cung cấp cho giáo viên và học sinh các tư liệu
Sách - Combo Tư Liệu Dạy - Học: Lịch Sử 9 + Địa Lí 9 (Dùng Chung Cho Các Bộ SGK Hiện Hành) - HA Combo Tư Liệu Dạy - Học: Lịch Sử 9 +
1.Bồi Dưỡng Học Sinh Giỏi Hóa Học 8 Theo Chuyên Đề (Dùng Chung Cho Các Bộ SGK Hiện Hành) Cuốn sách Các Chuyên Đề Bồi Dưỡng Học Sinh Giỏi Hóa Học 8 giúp các em
Tác giả: Nhiều tác giả Nhà xuất bản: NXB Giáo dục Việt Nam Năm xuất bản: 2023 Số trang: 116/ cuốn Khổ: 20x28 cm Hình thức: Bìa mềm Giới
Cấu trúc cụ thể của cuốn sách Bộ để kiểm tra, đánh giá như sau: PHẦN 1. ĐỀ KIỂM TRA, ĐÁNH GIÁ Để kiểm tra giữa học kì ! Để kiểm tra
Cấu trúc cụ thể của cuốn sách Bộ đề kiểm tra, đánh giá Toán 6 như sau: PHẦN 1. ĐỀ KIỂM TRA, ĐÁNH GIÁ Đề kiểm tra giữa học kì l Đề
Combo Hướng Dẫn Học Và Giải Các Dạng Bài Tập Toán 8 Tập 1 + 2 (Bám Sát SGK Kết Nối Tri Thức Với Cuộc Sống) (Bộ 2 Cuốn) 1. Hướng Dẫn Học Và Giải
Sách - Bồi dưỡng ngữ văn 9 (bám sát sgk kết nối tri thức với cuộc sống) - HA3 Quý thầy cô cùng các em học sinh thân mến! Để giúp quý thầy cô cùng
Gồm 2 cuốn : Củng cố và Ôn luyện Toán 7 - Tập 1 Củng cố và Ôn luyện Toán 7 - Tập 2 Củng cố và Ôn luyện Toán 7 - Tập 1 Nội
Bồi Dưỡng Ngữ Văn Lớp 9 - Bám Sát SGK: Kết Nối Tri Thức Với Cuộc Sống Quý thầy cô cùng các em học sinh thân mến! Để giúp quý thầy cô cùng các em
Năm Xuất Bản 2023 Tác Giả Nguyễn Quốc Khánh, Kiều Bắc, Nguyễn Thị Hoa Kích Thước 17 x 24 cm Nhà Xuất bản Đại Học Quốc Gia Hà Nội Số Trang 208 Bìa Mềm Đồng
Chi Tiết Sản Phẩm Nhà phát hành Ns Nhân Dân Tác giả Hoàng Thị Lâm Nho NXB Thanh Niên Năm Xuất Bản 2024 Số trang 152 ====================== CAM KẾT VÀ BẢO HÀNH
Nhằm giúp học sinh tự ôn luyện, kiểm tra đánh giá kiến thức sau mỗi bài học, mỗi chương phù hợp với chương trình mới; đồng thời giúp quý thầy cô giáo, quý phụ huynh
NXB Dân Trí Tác giả Nhiều tác giả Năm XB 2025 khổ 20.5x28.5 Số trang: 144 trang Hệ thống bài tập theo cấp độ từ cơ bản tới nâng cao giúp học sinh
Cuốn sách có nội dung bám sát bộ sách giáo khoa “Cánh diều” của Nhà xuất bản Đại học Sư phạm. Ngoài ra quý phụ huynh có thể sử dụng cuốn sách làm tài liệu
Cuốn sách có nội dung bám sát bộ sách giáo khoa “Cánh diều” của Nhà xuất bản Đại học Sư phạm. Ngoài ra quý phụ huynh có thể sử dụng cuốn sách làm tài liệu
Sách - Hướng dẫn học và làm bài Ngữ Văn 6, 7, 8,9 (Kết nối tri thức với cuộc sống) HA GỒM : 1. (Combo 2 Tập) Hướng Dẫn Học Và Làm Bài Ngữ Văn
Sách - Hướng dẫn học và làm bài Ngữ Văn 6, 7, 8,9 (Kết nối tri thức với cuộc sống) HA GỒM : 1. (Combo 2 Tập) Hướng Dẫn Học Và Làm Bài Ngữ Văn
============= Giới Thiệu Sách ============ GLOBAL SUCCESS - Bài tập trắc nghiệm tiếng anh lớp 8 (có đáp án) Bộ sách “BÀI TẬP TRẮC NGHIỆM TIẾNG ANH LỚP 8" được ra đời với mục
Mô Tả Sản Phẩm Khoa học tự nhiên luôn đổi mới để đáp ứng yêu cầu của cuộc sống hiện đại. Do vậy, giáo dục phổ thông phải liên tục cập nhật những thành
Cuốn sách tham khảo Ôn luyện cơ bản và nâng cao Toán 8 (Bám sát SGK Kết Nối) là cuốn sách do nhiều tác giả biên soạn. Thông qua các chuyên đề và bài tập
Sách Bài Tập Bổ Trợ Toàn Diện Tiếng Anh 9 từ ABBOOKS là tài liệu học tập chất lượng, được biên soạn dành riêng cho học sinh lớp 9, giúp các em củng cố kiến thức, rèn luyện
Bản đọc thử: Thông tin chi tiết: Nhà xuất bản Đại học Quốc gia Hà Nội Nhà phát hành: Sách Nhân Dân Tác giả: nhiều tác giả Số trang: 160 Năm xuất bản: 2023
Mô tả sản Phẩm Bộ lắp ghép lớp 4 và 5 Thương hiệu: đông á/ nhật hoa minh Xuất xứ: Việt nam Sử dụng trong môn Kỹ Thuật lớp 4- lớp 5 Mô tả sản
Bài Tập Tiếng Anh Lớp 11 - Không Đáp Án (Theo Chương Trình Chân Trời Sáng Tạo) Chúng tôi biên soạn Bài tập Tiếng Anh 11 – Không đáp án theo Chương trình Giáo dục phổ thông
Bí quyết chinh phục điểm cao Tiếng Anh 7 - Tập 1 - SÁCH TỰ HỌC GIỎI CÙNG CHUYÊN GIA Cuốn sách nằm trong bộ sách tham khảo được xây dựng bởi đội ngũ PGS.TS
Combo: Bộ sách Ôn luyện cơ bản và nâng cao Toán 8 Tập 1 +T2 (Bám sát chương trình SGK Kết nối tri thức với cuộc sống) Tác giả Nhiều tác giả Nhà xuất bản
- Chương trình sách giáo khoa mới, kết hợp cả 3 bộ sách: Kết nối tri thức, Cánh diều và Chân trời sáng tạo. - Khoá học online tặng kèm sách hỗ trợ quá trình
👁️ 146 | ⌚2025-10-01 00:00:04.417


Dầu Mè nguyên chất hữu cơ của thương hiệu Fratelli Mantova Since 1905 250mL: - Thành phần: Dầu mè nguyên chất hữu cơ (100%). - Thông tin Cảnh báo: Không sử dụng sản phẩm khi
Bộ Dây Vòi Xịt Đa Năng - Điều Chỉnh Nước Dễ Dàng - Phù Hợp Với Mọi Loại Dây Nước Bộ vòi xịt tăng áp lực nước so với vòi thường - Vật liệu 100%
THÔNG TIN KỸ THUẬT: 1.Thương hiệu: Comet 2.Sản phẩm: Chảo chống dính 3.Mã sản phẩm: CH11-22 4.Kích thước: 22cm 5.Chất liệu: Nhôm cao cấp, chống dính ceramic 6.Công dụng: Chiên, xào 7.Sản xuất tại: Trung
Combo Sức Mạnh Tiềm Thức + Đắc Nhân Tâm ------------ Từ ngày ấy, Đắc Nhân Tâm trở thành cuốn sách không-chịu-nằm-yên-trên-kệ. Ngoài ý được tái bản liên tục ở khắp nơi trên thế giới,
Combo Sức Mạnh Tiềm Thức + Đắc Nhân Tâm ------------ Từ ngày ấy, Đắc Nhân Tâm trở thành cuốn sách không-chịu-nằm-yên-trên-kệ. Ngoài ý được tái bản liên tục ở khắp nơi trên thế giới,
Quẳng Gánh Lo Đi Và Vui Sống là cuốn sách mà cái tên đã nói lên tất cả nội dung chuyển tải trên những trang giấy. Bất kỳ ai đang sống đều sẽ có những
Combo Sách Hành Tinh Của Một Kẻ Nghĩ Nhiều + Không Phải Sói Nhưng Cũng Đừng Là Cừu (Bộ 2 Cuốn) ------------ Combo Sách Hành Tinh Của Một Kẻ Nghĩ Nhiều + Không Phải
Lập pháp là một trong ba quyền: lập pháp, hành pháp và tư pháp, một thiết chế được sinh ra trong lòng nhân loại một cách muộn màng nhất nhưng lại được giao trọng trách
Công ty phát hành: First News - Trí Việt Tác Giả: Nhiều tác giả Ngày phát hành: 2020 Số trang: 200 trang Kích thước: 13 x 20.5 cm Nhà xuất bản: NXB Tổng hợp
Cân Bằng Cảm Xúc Cả Lúc Bão Giông Một ngày, chúng ta có khoảng 16 tiếng tiếp xúc với con người, công việc, các nguồn thông tin từ mạng xã hội, loa đài báo giấy…
Combo Sách Tư Duy Kỹ Năng Sống Hay : Mới Hơn Hai Mươi Tuổi Đừng Sống Hết Cuộc Đời + Thói Quen Thức Dậy Của Người Thành Đạt ( Tặng Kèm Postcark Greenlife ) Nội
Công ty phát hành: First News - Trí Việt Tác Giả: Nobuyoshi Hirai Ngày phát hành: 2020 Số trang: 200 trang Kích thước: 14.5 x 20.5 cm Nhà xuất bản: NXB Tổng hợp TPHCM Xuất
Combo Bình Tĩnh Khi Ế, Mạnh Mẽ Khi Yêu + Sống Bản Lĩnh Theo Cách Một Quý Cô (Bộ 2 Quyển) 1.Bình Tĩnh Khi Ế, Mạnh Mẽ Khi Yêu TUYỆT CHIÊU THOÁT Ế CHO
Sách Combo 2 Cuốn Bán Chạy: Rập Rờn Cánh Hạc + Bố Con Cá Gai (Tái Bản) 1.Rập Rờn Cánh Hạc THÊM MỘT TÁC PHẨM KINH ĐIỂN CỦA ĐẠI VĂN HÀO KAWABATA YASUNARI SẼ ĐẾN TAY
Lập Trình VBA Cho Microsoft Office NỘI DUNG SÁCH: Excel là một chương trình mạnh và linh hoạt, bạn có thể sử dụng Excel để nhập tất cả các loại dữ liệu và thực hiện
Thế kỉ 20 đã chứng kiến những tiến bộ vượt bậc của khoa học và công nghệ làm nền tảng thúc đẩy sự phát triển của nhân loại trên bình diện vật chất: toàn thế
------------- Công ty phát hành: First News - Trí Việt Tác giả: Anne Rooney Ngày xuất bản: 2018 Kích thước: 19 x 26 cm Nhà xuất bản: Nhà Xuất Bản Tổng hợp Loại bìa:
Combo Đặc Quyền Của Gái Hư + Sống Bản Lĩnh Theo Cách Một Quý Cô (Bộ 2 Cuốn) 1. Đặc Quyền Của Gái Hư Cuốn sách giúp bạn nhận ra đã đến lúc bạn không còn
Combo Kỹ Năng, Bí Kíp Tạo Dựng Phong Cách Sống Khoa Học: Sống Đơn Giản Cho Mình Thanh Thản + Chúng Ta Quyết Định Như Thế Nào? (How We Decide) - Tặng Kèm Bookmark Green
Giá bộ: 214.000 VNĐ ----------- Tác Giả: Nhiều tác giả Công ty phát hành: First News – Trí VIệt Ngày phát hành: 2020 Số trang: 250 Kích thước: 14.5 x 20.5 cm NXB: NXB Tổng