✨Vật Lý 10 - Tuyệt Kỹ Các Thủ Thuật Giải Nhanh Tự Luận - Trắc Nghiệm


















Tuyệt Kỹ Các Thủ Thuật Giải Nhanh Vật Lý 10 Sách tham khảo là bạn đồng hành không thể thiếu đối với các em học sinh. Đặc biệt là các em cuối cấp.Để giúp các em trong việc lựa chọn tập hợp các kiến thức và kỹ năng cần thiết cho kỳ thi quốc gia, tôi biên soạn cuốn sách: “TUYỆT KỸ CÁC THỦ THỦ THUẬT GIẢI NHANH VẬT LÝ 10 (Tự luận và trắc nghiệm)” Tôi hi vọng cuốn sách này là tài liệu bổ ích giúp cho các em ôn thi hiệu quả nhất trong kỳ thi quan trọng sắp tới Sách soạn theo chuyên đề:
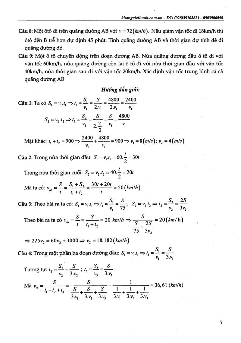
- Tóm tắt lý thuyết và phương pháp giải
- Các dạng bài và hướng dẫn giải chi tiết
- Ôn luyện và hướng dẫn giải toàn chương




Đột Phá Tư Duy Kì Thi Tốt Nghiệp THPT - Môn Sinh Học SÁCH ĐỘT PHÁ TƯ DUY KÌ THI TỐT NGHIỆP THPT MÔN TOÁN Theo cấu trúc định hướng thi mới năm 2025 của
SÁCH ĐỘT PHÁ TƯ DUY KÌ THI TỐT NGHIỆP THPT MÔN VẬT LÍ Theo cấu trúc định hướng thi mới năm 2025 của BGD Với cấu trúc đề thi mới, các dạng câu hỏi mới
+ Chương trình chuẩn kết hợp theo cả 3 bộ sách: Cánh Diều, Kết Nối Tri Thức với Cuộc sống và Chân trời sáng tạo + Hệ thống kiến thức rõ ràng theo 23 chủ
Nội dung gồm có: Chương 1. Vật lí nhiệt Chương 2. Khí lí tưởng Chương 3. Từ trường Chương 4. Phản ứng hạt nhân - Phân hạch và nhiệt hạch Tác giả: Nguyễn
Các em học sinh lớp 12 thân mến! Học là một quá trình rèn luyện vất vả nhất của đời người. Điều gì vất vả mới có được, thì đó chính là điều mình quý
Trong bối cảnh hội nhập quốc tế, việc học ngoại ngữ, đặc biệt là tiếng Anh, trở nên thiết yếu hơn bao giờ hết. Tiếng Anh không chỉ giúp chúng ta nâng cao năng lực
Nội dung gồm có: Chương 1. Dao động cơ Chủ đề 1. Dao động điều hòa Chương 2. Sóng Chủ đề 2. Sự truyền sóng cơ và các đại lượng đặc
sách - luyện thi cấp tốc môn tiếng anh (dùng chung các bộ sgk hiện hành) Cuốn sách bao gồm các chuyên đề :Ngữ pháp, Từ vựng, Ngữ âm, Kĩ năng giao tiếp, Kĩ năng
Nhằm giúp giáo viên có thêm tài liệu tham khảo trong việc bồi dưỡng, rèn luyện năng khiếu cho học sinh giỏi và giúp các em học sinh có tài liệu tự nâng cao kiến
Tuyệt Kỹ Các Thủ Thuật Giải Nhanh Vật Lý 10 Sách tham khảo là bạn đồng hành không thể thiếu đối với các em học sinh. Đặc biệt là các em cuối cấp.Để giúp các
Cuốn sách “500+ bài tập Hoá học 10: Kiến thức và kĩ năng mấu chốt" bám sát Chương trình Giáo dục phổ thông 2018, nhằm giúp các em tổng kết, hiểu sâu lí thuyết và
ách - Những bài văn đạt giải học sinh giỏi cấp tỉnh - thành phố - toàn quốc (dành cho học sinh thpt) - HA Các em học sinh thân mến! Cuốn sách Những bài
Đây là cuốn sách được biên soạn theo tinh thần thi mới của Bộ Giáo dục và Đào tạo, theo cấu trúc đề thi 3 phần: Kiểm tra kiến thức (câu 1); Nghị luận xã
Sách - Bồi dưỡng học sinh giỏi tiếng anh 10 (dùng chung các bộ sgk hiện hành) - HA Các em học sinh thân mến! Quyển sách “BỒI DƯỠNG HỌC SINH GIỎI TIẾNG ANH 10”
MÔ TẢ SẢN PHẨM Từ Vựng IELTS 8.0 - Từ Vựng Đắt Để Đạt Điểm Cao 4 Kỹ Năng là cuốn sách tổng hợp 15 chủ đề Từ vựng chất lượng giúp bạn đạt điểm
MÔ TẢ SẢN PHẨM Từ Vựng IELTS 8.0 - Từ Vựng Đắt Để Đạt Điểm Cao 4 Kỹ Năng là cuốn sách tổng hợp 15 chủ đề Từ vựng chất lượng giúp bạn đạt điểm
Take Note Toán lớp 10 – Hiểu nhanh, nhớ lâu, áp dụng tốt Take Note Toán lớp 10 – Tổng hợp kiến thức: Hiểu nhanh, nhớ lâu! là một cuốn sách đồng hành không thể
GIỚI THIỆU SÁCH “COMBO BỒI DƯỠNG HỌC SINH GIỎI VẬT LÍ 10” là bộ sách dùng cho học sinh khá giỏi, học sinh các lớp chuyên Vật lí. Về cấu trúc, mỗi cuốn sách đều
Cuốn sách Giải thích chuyên đề thi vào 10 chuyên Tiếng Anh nằm trong bộ sách Giải thích chuyên đề thi vào 10 chuyên. Cuốn sách giúp học sinh củng cố lại kiến thức trọng
Tác Giả: Nhiều tác giả Số trang: 220 Năm xuất bản: 2022 Khổ sách: 19x27cm Hình thức :bìa mềm NXB: NXB Đại học quốc gia Hà Nội Giới Thiệu
500 Bài Toán Chọn Lọc Lớp 10 (Dùng Chung Cho Các Bộ SGK Hiện Hành) 500 Bài Toán Chọn Lọc Lớp 10 (Dùng Chung Cho Các Bộ SGK Hiện Hành) được biên soạn theo chuẩn
Bồi Dưỡng Học Sinh Giỏi Địa Lí 12 (Biên Soạn Theo Chương Trình Giáo Dục Phổ Thông Mới) Sách Bồi dưỡng học sinh giỏi Địa lí 12 được biên soạn để dùng làm tài liệu
Nhà xuất bản: NXB Dân Trí Tác giả: Nhiều tác giả Loại bìa: Bìa Mềm Số trang: 159 Năm xuất bản: 2025 Điểm Cao Và Chinh Phục Ngữ Văn 12 Luyện Thi TN THPT
MÔ TẢ SẢN PHẨM CAM KẾT VÀ BẢO HÀNH - Đảm bảo và cam kết sản phẩm đúng với mô tả và hình ảnh của shop. - Đổi trả sản phẩm miễn phí trong vòng
Bộ sách "Bồi Dưỡng Học Sinh Giỏi Vật Lí Trung Học Phổ Thông - 13 cuốn"nằm trong bộ sách chuyên đề nhiều tập của NXB Giáo dục Việt Nam. Đây là tập sách viết sâu
Sách - Hướng dẫn ôn thi tốt nghiệp THPT môn Ngữ Văn (BÁM SÁT CẤU TRÚC VÀ NỘI DUNG ĐỀ THI MINH HOẠ TỐT NGHIỆP THPT ĐƯỢC BỘ GIÁO DỤC & ĐÀO TẠO CÔNG
Sách - Combo Để học tốt Ngữ Văn 10 - Tập 1 + 2 (Theo SGK Cánh Diều) Gồm 2 cuốn : Để học tốt Ngữ Văn 10 - Tập 1 (Theo SGK Cánh
Thầy cô đang cần một cuốn sách tham khảo gợi mở những ý tưởng sáng tạo, gắn việc dạy – học lịch sử với thực tiễn, phát triển tư duy và đảm bảo các yêu
Thông tin chi tiết: Tác giả: NGƯT. ThS. Lê Hoành Phò Nhà Xuất Bản : NXB Đà Nẵng Số trang : 534 Năm xuất bản : 2022 Giới thiệu sách: Phần 1: Nguyên Hàm
Bí kíp - nắm trọn điểm thi vào 10: Đây là cuốn sách vàng ''giải cứu'' các sĩ tử 2K7 nhằm giúp các em học sinh lớp 9 tự tin chinh phục toàn bộ
Theo chương trình mới, các bạn tiếp cận Toán học với những nội dung gần gũi với cuộc sống và giảm nhẹ các yếu tố hàn lâm. Các bạn cũng được định hướng để phát
Với mục đích giúp các em học sinh làm quen với phương pháp thi mới mẻ này và có được tài liệu chuẩn bị cho kỳ thi sắp tới, tác giả đã xuất bản cuốn
Năng lực đọc hiểu văn bản là một yêu cầu ngày càng trở nên quan trọng đối với con người. Bởi vậy trong nhà trường trung học hiện nay, với môn Ngữ văn, đọc hiểu
Nhằm giúp giáo viên có thêm tài liệu tham khảo trong việc bồi dưỡng, rèn luyện năng khiếu cho học sinh giỏi và giúp các em học sinh có tài liệu tự nâng cao kiến
Sách - Tổng Tập Đề Thi Olympic 30 Tháng 4 Môn Vật Lí Lớp 10 Kì thi Olympic 30 tháng 4 do Sở Giáo dục và Đào tạo, trường THPT chuyên Lê Hồng Phong
Nhằm giúp giáo viên có thêm tài liệu tham khảo trong việc bồi dưỡng, rèn luyện năng khiếu cho học sinh giỏi và giúp các em học sinh có tài liệu tự nâng cao kiến
Nội dung trong sách bám sát chương trình ban Cơ bản phù hợp với kiến thức thi THPT - Quốc gia hiện nay. Sách gồm 18 vấn đề, mỗi vấn đề gồm nhiều dạng bài
Khám Phá Toán 11 Để Học Giỏi - Tập 2 (Dùng Kèm SGK Chân Trời Sáng Tạo) Nối tiếp bộ sách Khám phá Toán 10 để học giỏi gồm 3 phiên bản tương ứng cho 3
THÔNG TIN CHI TIẾT - Tác giả : Nhóm tác giả - Nhà xuất bản : NXB Dân Trí - Kích thước : 21x 30 cm - Số trang : 269 trang - Loại bìa
THÔNG TIN CHI TIẾT - Tác giả : Nhóm tác giả - Nhà xuất bản : NXB Dân Trí - Kích thước : 21 x 30 cm - Số trang : 309 trang - Loại
Nhằm giúp các em học sinh bậc trung học phổ thông (THPT) nắm vững được kiến thức và kĩ năng của chương trình Vật lí trong quá trình học và ôn tập, chúng tôi biên
ƯU ĐIỂM CỦA CUỐN SỔ TAY LUYỆN THI VÀO LỚP 10 - MÔN TOÁN 1. Hệ thống kiến thức toán học ngắn gọn, trọng tâm nhất Cuốn sách bao gồm 12 chương kiến thức ngắn gọn nhất,
Mô tả sản phẩm Căn cứ vào yêu cầu đạt được của mỗi chuyên đề chuyên sâu môn Hóa học được quy định trong công văn số 4171 BGD ĐT-GD TrH ngày 26 tháng 08
SÁCH ĐỘT PHÁ TƯ DUY LỊCH SỬ 12 Biến việc học thành một cuộc phiêu lưu thú vị Bạn đang tìm kiếm một giải pháp học tập giúp bạn tiết kiệm thời gian, chi
Đột Phá Ngữ Văn 11 - Tập 1 (Theo Bộ Sách Cánh Diều) Bạn đang tìm kiếm một giải pháp học tập giúp bạn tiết kiệm thời gian, chi phí mà lại nâng cao được
Đột Phá Ngữ Văn 11 - Tập 2 (Theo Bộ Sách Cánh Diều) Bạn đang tìm kiếm một giải pháp học tập giúp bạn tiết kiệm thời gian, chi phí mà lại nâng cao được
Đột Phá Ngữ Văn 10 - Tập 2 (Theo Bộ Sách Cánh Diều) Bạn đang tìm kiếm một giải pháp học tập giúp bạn tiết kiệm thời gian, chi phí mà lại nâng cao được
Đột Phá Tư Duy Hóa Học 12 - Tập 2 Bạn đang tìm kiếm một giải pháp học tập giúp bạn tiết kiệm thời gian, chi phí mà lại nâng cao được hiệu quả học
Hướng Dẫn Ôn Thi Tốt Nghiệp Trung Học Phổ Thông - Môn Ngữ Văn Từ năm 2025, thay đổi toàn diện Chương trình Giáo dục Phổ thông. Theo đó kì thì tốt nghiệp Trung học
Phương Pháp Giải Các Dạng Toán Thực Tế 12 Trong bối cảnh giáo dục ngày nay, việc nắm vững kiến thức toán học không chỉ là một nhiệm vụ học thuật mà còn là yếu
Thông tin chi tiết Tác giả: Nhiều tác giả NXB: Nhà xuất bản Đại học Quốc gia Hà Nội Nhà cung cấp ndbooks Năm xuất bản: 2025 Số trang: 176
SÁCH ĐỘT PHÁ TƯ DUY KÌ THI TỐT NGHIỆP THPT MÔN LỊCH SỬ Theo cấu trúc định hướng thi mới năm 2026 của BGD Với cấu trúc đề thi mới, các dạng câu hỏi mới
SÁCH ĐỘT PHÁ TƯ DUY KÌ THI TỐT NGHIỆP THPT MÔN NGỮ VĂN Theo cấu trúc định hướng thi mới năm 2026 của BGD Với cấu trúc đề thi mới, các dạng câu hỏi mới
Kì thi Olympic 30 tháng 4 do Sở Giáo dục và Đào tạo, Trường Trung học Phổ thông Chuyên Lê Hồng Phong Thành phố Hồ Chí Minh tổ chức đã diễn ra được 26 kì
Nội dung của mỗi tiết học là các định nghĩa, các công thức toán học, các định lí mà mỗi học sinh cần nhớ, đồng thời phải biết vận dụng các kiến thức để làm
Nội dung của mỗi tiết học là các định nghĩa, các công thức toán học, các định lí mà mỗi học sinh cần nhớ, đồng thời phải biết vận dụng các kiến thức để làm
Ngữ văn 10 - Phương pháp đọc hiểu và viết (dùng ngữ liệu ngoài sgk) - Theo CT 2018 dùng chung cho 3 bộ sgk là sách thảm khảo dùng cho học sinh lớp 10, Sách được
Cuốn sách "Hóa học nâng cao 10" được biên soạn dựa trên Chương trình giáo dục phổ thông năm 2018 - môn Hóa học, gồm 7 chương- * Chương 1. Cấu tạo nguyên tử
Năm học 2017 - 2018 đã bắt đầu. Các em học sinh lớp 12 vừa học phải vừa kiểm tra bài tập chu đáo theo từng chủ đề để chuẩn bị tốt nhất cho mình
👁️ 58 | ⌚2025-10-04 06:30:03.383


Ăn Kiêng Eczema (Bệnh Chàm, Viêm Da Cơ Địa) - Karen Fischer - Hanah Nguyen dịch - (bìa mềm) - Giá bìa: 198.000đ Ăn kiêng Eczema là gì? Thoạt nhìn, Ăn kiêng Eczema có vẻ
“Tiểu đường” là căn bệnh rối loạn chuyển hóa cực kì phổ biến trong thế kỉ 21. Tiểu đường type 1, có mức insulin vô cùng thấp, đối lập hoàn toàn tiểu đường type 2,
Xây Dựng Nền Tảng Ngôn Ngữ Cho Trẻ Từ 0-6 Tuổi - Cao Thị Bích Trâm (bìa mềm) - Giá bìa: 179.000đ Xây Dựng Nền Tảng Ngôn Ngữ Cho Trẻ Từ 0-6 Tuổi Thực tế
5 Phương Trình Làm Thay Đổi Thế Giới (Tái Bản 2018) Michael Guillen là giảng viên vật lý và toán học, nhưng ông nổi tiếng hơn cả trong vai trò của một phóng viên, biên
Trong Dòng chảy ý thức, Tiến sĩ Oliver Sacks dẫn dắt người đọc chu du trong một vùng trời không biên giới của sự tiến hóa, thực vật học, hóa học, y học. khoa học thần
Cuốn sách mô tả về năm phương trình nổi tiếng có sức chuyển động thế giới. mỗi câu chuyện gắn liền giữa cuộc đời với những nghiên cứu khoa học của 5 nhân vật, giúp
Tác giả: Heather Turegon, MFT và Julie Wright, MFT Dịch giả: Nguyễn Thị Ngọc Châu Khổ sách: 15,5x23cm Số trang: 366 Giá bán: 170,000 VNĐ ISBN: 978-604-1-20972-5 In lần thứ 1 năm 2022 NXB: NXB
Tủ Sách Giáo Dục Stem - Anh Hùng Sinh Thái Tập Sự Nhà xuất bản : Nhà Xuất Bản Dân Trí. Công ty phát hành : ETS - Education Technology Science. Tác giả : Jo
Mười bảy thế kỉ có mặt, người Champa đã dựng nên nền văn hóa - văn minh độc đáo. Sau khi vương quốc Champa tan rã để hòa nhập vào đất nước Việt Nam, nền
KHOA HỌC KHÁM PHÁ - CẢM XÚC - Cảm Xúc Chi Phối Tư Duy Như Thế Nào? - Leonard Mlodinow (bìa mềm) - Giá bìa: 170.000đ Từ lâu, người ta đã nói rằng suy nghĩ
Mười bảy thế kỉ có mặt, người Champa đã dựng nên nền văn hóa - văn minh độc đáo. Sau khi vương quốc Champa tan rã để hòa nhập vào đất nước Việt Nam, nền
Con Bò Tía (Tái Bản 2023) Công ty phát hành: Alphabooks Nhà xuất bản: Lao Động Tác giả: Seth Godin Hình thức: Bìa mềm Số trang: 248 Kích thước: 18.5x20.5cm Năm xuất bản: 2023 Vài
MARUGOTO A2/B1 – NGÔN NGỮ VÀ VĂN HÓA NHẬT BẢN Ngay sau khi ra mắt bộ giáo trình Marugoto A2 Sơ cấp 1,2 , – tiếp tục phát hành Marugoto A2/B1 Sơ - Trung cấp
Làm cha làm mẹ chưa bao giờ là một điều dễ dàng. Mỗi nhà mỗi cảnh, hầu như trong suốt quá trình nuôi con khôn lớn, đa phần cha mẹ đều nhận thấy một điều
Những Chuyến Du Hành Ngoài Thể Xác Trong xã hội của chúng ta, giấc mơ thường bị coi là không quan trọng. Tuy nhiên, nhiều người khẳng định là đã có những trải nghiệm trong
“The Book Of Leadership” là cuốn cẩm nang giúp cho nhà lãnh đạo có thể dẫn dắt bản thân , đội nhóm và tổ chức vươn xa đạt được thành công to lớn. Khi bạn
Sách - Bốn Tư Duy Dẫn Lối Bạn Tới Thành Công - MCBooks Nội dung cuốn Sách Bốn Tư Duy Dẫn Lối Bạn Tới Thành Công - MCBooks “Tư duy” là một
Nhật Ký Bí Mật - 30 Ngày Yêu Thương Bản Thân Và Chữa Lành
YouTube đã thay đổi hoàn toàn thế giới hiện đại – từ cách chúng ta xem video, kết nối, cho đến cách chúng ta mở rộng thị trường với những cơ hội mới dành cho
Phụ Nữ - Đừng Kiệt Sức Vì Sự Hoàn Hảo Tình trạng kiệt sức ở phụ nữ Trước đây, hầu hết các nghiên cứu về tình trạng Burnout đều khai thác khía cạnh kiệt sức