✨Cambridge Preliminary English Test 5 Student's Book with Answers

















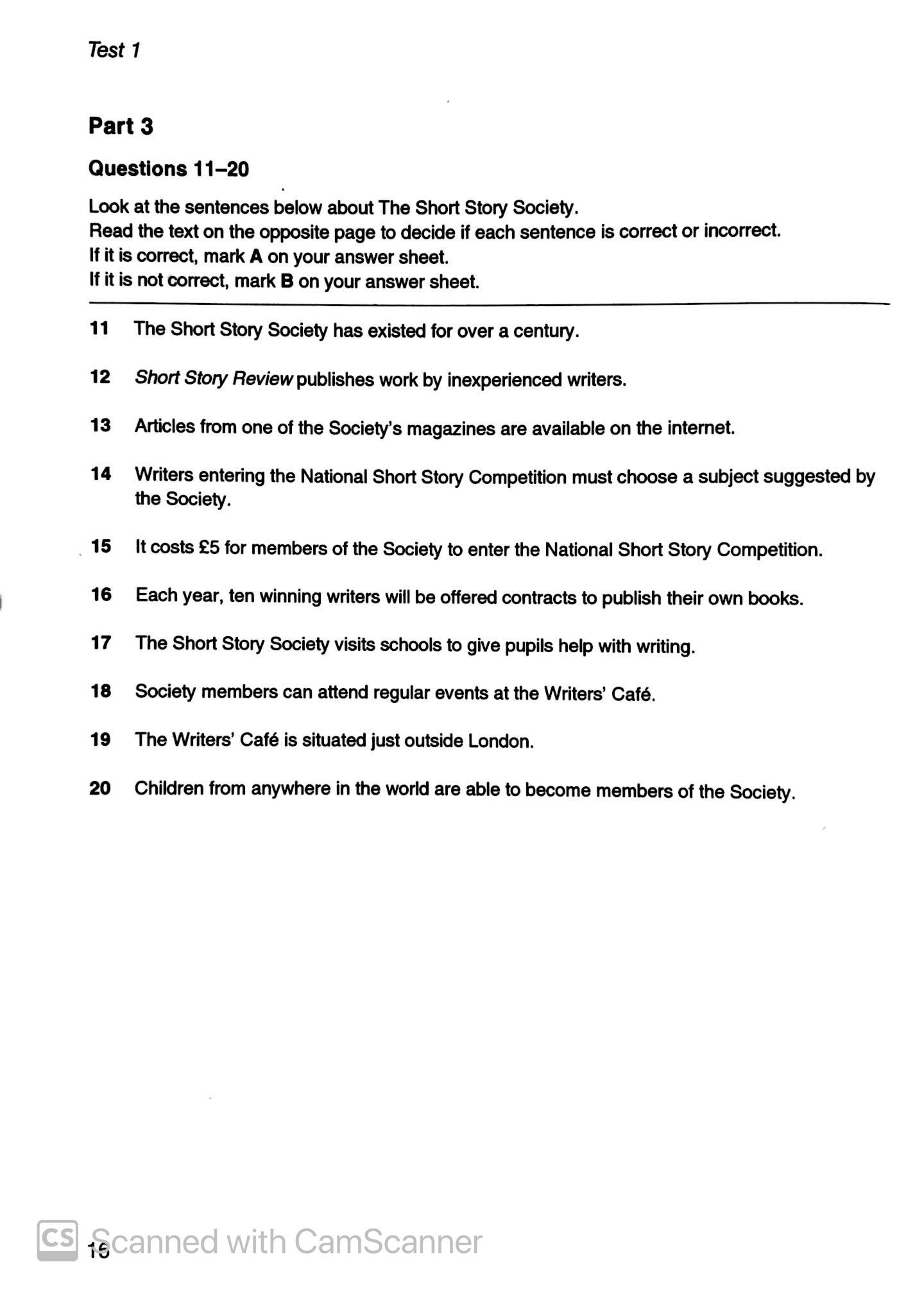
The Cambridge Preliminary English Test 5 practice tests provide candidates with an excellent opportunity to familiarise themselves with the 2004 PET exam and to practise examination techniques. The Student's Book contains practice material for Paper 1 (Reading and Writing) and Paper 2 (Listening), along with attractive colour visual material for Paper 3 (Speaking), enabling students to prepare thoroughly for the paired Speaking test. The Student's Book is available with or without answers.




New Get Smart 2 Flashcards New Get Smart là một khóa học chính đưa những học sinh từ trình độ sơ cấp đến trung cấp, đồng thời xem xét cẩn thận nhu cầu và sở
New Get Smart 4 Flashcards New Get Smart là một khóa học chính đưa những học sinh từ trình độ sơ cấp đến trung cấp, đồng thời xem xét cẩn thận nhu cầu và sở
Cambridge English Empower is a general adult course that combines course content from Cambridge University Press with validated assessment from the experts at Cambridge English Language Assessment. The Pre-intermediate Student's Book gives learners an immediate
Everybody Up (2E) 4 Student Book Everybody Up gets students talking about the real world. Posters, videos, stories, and songs link English to other school subjects and universal values, developing global citizens with 21st century
Oxford Phonics World Refresh 5 Students Book Pack Oxford Phonics World is the first step on your students' journey into English, leading you through all 44 sounds .
English File 4th Edition: Intermediate: Student's Book With Online Practice The English File fourth edition Student's Book is packed full of interesting content to keep students of all levels talking. Online Practice gives students the
Starlight: Level 4: Workbook Using a clear 'engage - practice - communicate' approach in every lesson, Starlight's lively stories, songs, projects, CLIL lessons and high-level course syllabus help students master the language they need for exams
English World 5: Pupil Book with eBook Pack English World is a stunningly visual ten-level course which will take children through from primary to secondary. Written by the authors of best-sellers Way Ahead and Macmillan
Provides more practice to consolidate the Student Book Alphabet Writing Practice familiarizes children with upper and lower case letter shapes
Kid's Box Second edition Pupil's Book Level 5
Voices Advanced - Workbook With Answer Key
Let's Go: Level 3: Workbook With Online Practice - 5th Edition Inspire students to enjoy learning in English with a trusted methodology and easy-to-use teaching tools. Let's Go 5th Edition provides lively and motivating activities
Plus de 50 règles et astuces pour ne plus faire de fautes en orthographe ! Vous hésitez entre a et à, ou et où, et et est, quoique et quoi ? En un clin d'oeil,
ACCESS Series – Grade 6-9 is an ELT series that specially designed specifically for secondary students with English advance programs, based on the method of language synthesis. Levels: 4 cấp độ, từ Lớp 6 –
Super Safari: Super Safari British English edition is a three-level pre-primary course that welcomes very young children to English through stories, songs and plenty of playtime while supporting their cognitive, motor-sensory and social development. Join
Prepare A1 Level 1 Workbook With Audio Download PREPARE 2nd edition Level 1 provides a foundation for levels 2 and 3 which prepare students for the revised 2020 A2 Key for Schools exam. The Level
English World is a stunningly visual ten-level course which will take children through from primary to secondary. Written by the authors of best-sellers Way Ahead and Macmillan English, English World combines best practice methodology with
Academy Award-winning screenwriter Quentin Tarantino returns with his most infamous, most brilliant, most masterful screenplay At the end of the Civil War, a stagecoach hurtles through the wintry Wyoming landscape. Bounty hunter John Ruth and
Nikkei Asia là tạp chí tiếng Anh có tên tuổi thuộc tập đoàn Nikkei - Nhật Bản, chuyên viết về những xu hướng kinh tế, công nghệ, chính trị của các nước trong khu vực
Nikkei Asia là tạp chí tiếng Anh có tên tuổi thuộc tập đoàn Nikkei - Nhật Bản, chuyên viết về những xu hướng kinh tế, công nghệ, chính trị của các nước trong khu vực
Nikkei Asia là tạp chí tiếng Anh có tên tuổi thuộc tập đoàn Nikkei - Nhật Bản, chuyên viết về những xu hướng kinh tế, công nghệ, chính trị của các nước trong khu vực
Nikkei Asia là tạp chí tiếng Anh có tên tuổi thuộc tập đoàn Nikkei - Nhật Bản, chuyên viết về những xu hướng kinh tế, công nghệ, chính trị của các nước trong khu vực
Nikkei Asia là tạp chí tiếng Anh có tên tuổi thuộc tập đoàn Nikkei - Nhật Bản, chuyên viết về những xu hướng kinh tế, công nghệ, chính trị của các nước trong khu vực
Nikkei Asia là tạp chí tiếng Anh có tên tuổi thuộc tập đoàn Nikkei - Nhật Bản, chuyên viết về những xu hướng kinh tế, công nghệ, chính trị của các nước trong khu vực
Grammar Friends: 2: Student Book The step-by-step grammar presentations in Grammar Friends introduce form, use and meaning in a way that even young beginner learners can understand and remember. The series was written to support
The Cambridge Preliminary English Test 5 practice tests provide candidates with an excellent opportunity to familiarise themselves with the 2004 PET exam and to practise examination techniques. The Student's Book contains practice material for Paper
Kid's Box 2nd ed Activity Book with Online Resources Level 5
English Plus: Level 1: Student's Book 1 The English Plus Student's Book provides plenty of carefully planned practice to build students' confidence whatever their ability. Extra material offers flexible options so that you can cater to different
Ferris Wheel Level 1 Activity Book The Ferris Wheel Activity Book offers further practice of all the language and content which has been introduced in the Student's Book.
Build conversation skills, with functional language in the new Fluency Time! sections - even see the conversations in action, on the Fluency DVD. Cross-curricular lessons present language in natural, real-life contexts. Students can take their
American Family And Friends: Level Five: Workbook We asked what teachers liked and what they wanted to change. They told us - and we listened. Fluency development. Cross-curricular lessons and projects. Online Play. Just a
Brighter Ideas 3 - Student Book With Online Practice Brighter Ideas is designed to engage students enquiring minds, encouraging them to participate in discussions about real-world topics, and achieve results. With a range of flexible
Prepare B1 Level 5 Workbook with Audio Download PREPARE 2nd edition Level 5 combines 'teen-appeal' topics with extensive preparation for the revised 2020 A2 Key for Schools exam. The Level 5 Workbook provides additional reading,
Big English AmE 2Ed Level 2 Value Pack (SB + WB) Big English is a 6-level, intensive primary course. Designed for achieving results, Big English provides a curriculum that delivers comprehensive English language acquisition underpinned
Let's Begin: Level 2: Student Book - 5th Edition Inspire students to enjoy learning in English with a trusted methodology and easy-to-use teaching tools. Let's Go 5th Edition provides lively and motivating activities and offers
Provides more practice to consolidate the Student Book Picture Dictionary (Levels 1-4) helps with vocabulary practice Grammar Reference Guide (Levels 5-6) offers more practice, and allows students and teachers to check grammar rules
Build conversation skills, with functional language in the new Fluency Time! sections - even see the conversations in action, on the Fluency DVD. Cross-curricular lessons present language in natural, real-life contexts. Students can take their
Build conversation skills, with functional language in the new Fluency Time! sections - even see the conversations in action, on the Fluency DVD. Cross-curricular lessons present language in natural, real-life contexts. Students can take their
Build conversation skills, with functional language in the new Fluency Time! sections - even see the conversations in action, on the Fluency DVD. Cross-curricular lessons present language in natural, real-life contexts. Students can take their
Build conversation skills, with functional language in the new Fluency Time! sections - even see the conversations in action, on the Fluency DVD. Cross-curricular lessons present language in natural, real-life contexts. Students can take their
Build conversation skills, with functional language in the new Fluency Time! sections - even see the conversations in action, on the Fluency DVD. Cross-curricular lessons present language in natural, real-life contexts. Students can take their
Everybody Up (2E) 5 Student Book Everybody Up gets students talking about the real world. Posters, videos, stories, and songs link English to other school subjects and universal values, developing global citizens with 21st century
Kid's Box Second edition Class Book With CD-ROM Starters
Let's Begin: Level 1: Workbook with Online Practice - 5th Edition Inspire students to enjoy learning in English with a trusted methodology and easy-to-use teaching tools. Let's Go 5th Edition provides lively and motivating activities
Big English AmE 2Ed Level 1 Value Pack (SB + WB) Designed for achieving results, Big English 2nd Edition (American English) delivers comprehensive English language acquisition alongside CLIL and broader life skills, supported by unique
English File: Beginner: Student's Book 4th Edition With Online Practice English File's unique, lively and enjoyable lessons are renowned for getting students talking. In fact, 90% of English File teachers we surveyed in our Oxford Impact
Prepares students for the Advanced Listening and Speaking tests. Part of the Improve your Skills series, this book prepares students through pronunciation focus, test questions and listening tasks, along with MPO for further practice online.
Family and Friends: Level 2: Class Book, Second Edition Features for Family and Friends 2nd edition include real-world fluency development with supporting DVD, interactive Online Practice, new and updated assessment and testing material, and additional
Oxford Discover: Level 6: Student Book Pack, 2nd Edition The Oxford Discover Student Book is packed full of interesting content to keep students of all abilities fully engaged and motivated. The Oxford Discover App offers
Everybody Up (2E) 2 Student Book Everybody Up gets students talking about the real world. Posters, videos, stories, and songs link English to other school subjects and universal values, developing global citizens with 21st century
Oxford Discover 2nd Edition: Level 1: Student Book Pack The Oxford Discover Student Book is packed full of interesting content to keep students of all abilities fully engaged and motivated. The Oxford Discover App offers
Oxford Discover: Level 4: Student Book Pack The Oxford Discover Student Book is packed full of interesting content to keep students of all abilities fully engaged and motivated. The Oxford Discover App offers a visual
Big English AmE 2Ed Level 3 Value Pack (SB + WB) Big English is a 6-level, intensive primary course. Designed for achieving results, Big English provides a curriculum that delivers comprehensive English language acquisition underpinned
Access is a four-level course (each level split into a and b) designed for learners studying English at beginner to intermediate level. Each split level consists of 50 modules and is designed to be covered
Build conversation skills, with functional language in the new Fluency Time! sections - even see the conversations in action, on the Fluency DVD. Cross-curricular lessons present language in natural, real-life contexts. Students can take their
American Family And Friends: Level Two: Student Book 2nd Edition We asked what teachers liked and what they wanted to change. They told us - and we listened. Fluency development. Cross-curricular lessons and projects. Online
Oxford Discover 2nd Edition: Level 3: Student Book Pack The Oxford Discover Student Book is packed full of interesting content to keep students of all abilities fully engaged and motivated. The Oxford Discover App offers
Family and Friends: Level 1: Class Book Features for Family and Friends 2nd edition include real-world fluency development with supporting DVD, interactive Online Practice, new and updated assessment and testing material, and additional culture focus
Supporting all teachers, developing every child. Teachers love Family and Friends. The clear structure, fast-paced language syllabus, engaging songs and stories, and comprehensive assessment resources make it one of the world's most popular courses for
Speeches that Made History is a collection of speeches, addresses, declarations and announcements that have shaped history. Some have changed the way people think, others have changed the course of events across the globe -
👁️ 74 | ⌚2025-09-28 01:30:02.087


Kỹ Năng Lập Kế Hoạch Hiệu Quả Ai cũng cần một kế hoạch trong công việc. Cấp trên không ngừng thúc giục bạn viết báo cáo, lập kế hoạch cho tuần sau, tháng sau, năm
Số trang: 406 NXB: Nhà Xuất Bản Dân Trí Năm phát hành: 2020 Giới thiệu sách: Đơn Giản Hơn Tinh Tế Hơn Để thoát khỏi những áp lực vô hình chúng ta nên tìm một
Tôi vẫn luôn cho rằng bản thân là người “không có tài năng”. Bởi dù làm gì thì tôi cũng không thể nghiêm túc duy trì được lâu dài. Và dù là chơi thể thao
Phụ Nữ Hiện Đại Không Ngại Đam Mê “Từ bé đến lớn, mỗi con người luôn có một hoặc nhiều nỗi sợ tồn tại trong bản thân mình, có nỗi sợ rõ ràng, hữu
Tên Nhà Cung Cấpt1980 Books Tác giảtNhĩ Miêu Thư NXBtNXB Thanh Niên Năm XBt2021 Số trangt358 Yêu được, Nắm được, Thì Buông được là một cuốn sách truyền cảm hứng đầy xúc cảm, hàm chứa
Hành Động - Hành Trình Tạo Nên Những Thay Đổi Tích Cực HÀNH ĐỘNG Hành trình tạo nên những thay đổi tích cực Nếu thay đổi là điều khả dĩ, vậy tại sao chúng ta
SỐNG, LÀM VIỆC VÀ YÊU Chúng ta đang sống trong một xã hội không ngừng thay đổi, liên tục tiến về phía trước và đặt ra nhiều yêu cầu hơn bao giờ hết. Theo đuổi
Small Talk - Sức Mạnh Của Giao Tiếp ------------ SMALL TALK - SỨC MẠNH CỦA GIAO TIẾP Sự bùng nổ của công nghệ số, sự phát triển của mạng xã hội và các hình
10 bước đến thành công: Làm chủ bí quyết tư duy của người chiến thắng Tựa gốc: The Success Factor Tác giả: John Leach ---------- Khi định nghĩa, chúng ta cần thẳng thắn nhìn nhận
10 Bước Đến Thành Công ------------ Thành công có một sức hút kỳ lạ. Ai ai cũng đều khát khao hai chữ “thành công”, bởi người thành công sẽ nhận được sự tôn trọng
Tác giả: Xiu-Ying Wei Dịch giả: Phan Thu Vân Nhà xuất bản: Thế Giới Số trang: 432 Kích thước: 14 x 20,5cm Ngày phát hành: 03-2022 Harvard bốn rưỡi sáng sử dụng hình ảnh Harvard
Sống Không Rác - Thay Đổi Thế Giới Từ Những Điều Nhỏ Nhất ------------ Cuốn sách “Sống không rác – Thay đổi thế giới từ những điều nhỏ nhất” của tác giả Erin Rhoads
TÁC GIẢ: Hiroyuki Sakuragi Người dịch: Nhi Lâm THÔNG TIN XUẤT BẢN: Giá bìa: 139,000đ Kích thước: 13 x 19cm Số trang: 236 Mã EAN: 8936066690959 NXB liên kết: NXB Đại Học Kinh Tế Quốn
Sách - Học Khôn Ngoan Mà Không Gian Nan (Tái Bản 2023) 139K ------------ Học Khôn Ngoan Mà Không Gian Nan (Tái Bản 2023) Dân gian có câu: "Cần cù bù thông minh", chăm
Thế Giới Quả Là Rộng Lớn Và Có Rất Nhiều Việc Phải Làm ------------ Thế Giới Quả Là Rộng Lớn Và Có Rất Nhiều Việc Phải Làm Cuốn tự truyện Thế giới quả là rộng
Sống Bình Thường Mà Không Tầm Thường Nhà xuất bản : Nhà Xuất Bản Dân Trí. Công ty phát hành : Alphabooks. Tác giả : Jen Sincero. Kích thước : 13 x 20.5 x 1.5
Tác giả Jutta Portner Ngày xuất bản 04-2019 Kích thước 13 x 20.5 cm Nhà xuất bản Nhà Xuất Bản Đại Học Kinh Tế Quốc Dân Loại bìa Bìa mềm Số trang 352 GIỚI THIỆU
Mặc Kệ Thiên Hạ Sống Đời Bạn Muốn Trong cuộc sống hằng ngày, phần lớn thời gian bạn hoạt động ở chế độ tự động. Bạn không tự thách thức bản thân, hay tự tìm
Hành Động - Hành Trình Tạo Nên Những Thay Đổi Tích Cực Nhà xuất bản : Nhà Xuất Bản Thế Giới. Công ty phát hành : Saigon Books. Tác giả : Rob Hoskins. Kích thước
Số trang: 406 NXB: Nhà Xuất Bản Dân Trí Năm phát hành: 2020 Giới thiệu sách: Đơn Giản Hơn Tinh Tế Hơn Để thoát khỏi những áp lực vô hình chúng ta nên tìm một